Вот как астрономы решат спор о расширяющейся Вселенной

Вот как астрономы решат спор о расширяющейся Вселенной
Вот как астрономы решат спор о расширяющейся Вселенной

Когда два разных метода дают два разных результата, либо кто-то ошибается, либо происходит что-то невероятное.

Представьте, что вы ученый, пытающийся измерить какое-то свойство Вселенной. Если вам интересно, как что-то работает, вам придется найти способ сделать вывод не только о том, что происходит, но и в каком количестве. Это трудная задача; вам нужен не только качественный ответ на вопрос, что происходит, но и количественная часть, отвечающая на вопрос «насколько?»

В космологии одной из самых больших проблем является измерение расширения Вселенной. Мы знали с 1920-х годов, что Вселенная расширяется, хотя поколениям было сложно определить, «насколько?». Сегодня существует множество различных групп, использующих множество различных методов для измерения именно этого. Ответы, которые они постоянно получают, попадают в одну из двух категорий, но несовместимы друг с другом. Вот как мы планируем решить эту загадку.

Image
Image

На протяжении поколений астрономы, астрофизики и космологи пытались уточнить наши измерения скорости расширения Вселенной: постоянной Хаббла. Вот почему мы спроектировали и построили космический телескоп Хаббл. Ключевым проектом было проведение этого измерения, и оно было чрезвычайно успешным. Полученная скорость составила 72 км/с/Мпк с погрешностью всего 10%. Этот результат, опубликованный в 2001 году, разрешил спор, столь же старый, как и сам закон Хаббла.

Но в 2019 году возник новый. Один лагерь, используя реликты самых ранних стадий Большого взрыва, продолжает получать значения ~ 67 км / с / Мпк с заявленной неопределенностью всего 1-2%. Другой лагерь, используя измерения из относительно близкой Вселенной, утверждает, что ~ 73 км / с / Мпк с неопределенностью всего 2-3%. Эти ошибки настолько малы, что они больше не перекрываются. Что-то не так, и мы не можем понять где.

Image
Image

В прошлом Вселенная была меньше, горячее и плотнее. Свет из любого места в космосе должен пройти через расширяющуюся Вселенную, чтобы достичь наших глаз. В идеале мы можем измерить получаемый нами свет, определить расстояние до измеряемого сигнала и сделать вывод о том, как Вселенная расширялась на протяжении своей истории, что привело к получению сигнала, который мы на самом деле обнаруживаем.

Два класса методов, которые мы используем, однако, дают несовместимые результаты. Возможны три варианта:

  1. Группа «ранние реликвии» ошибается. В их подходе к этой проблеме есть фундаментальная ошибка, которая искажает результаты в сторону нереально низких значений.
  2. Группа «дистанционная лестница» ошибается. В их подходе есть какая-то систематическая ошибка, из-за которой их результаты смещаются в сторону неправильных, высоких значений.
  3. Обе группы правы, и в игре есть какая-то новая физика, ответственная за то, что две группы получают разные результаты.
Image
Image

Конечно, все думают, что они правы, а другие команды ошибаются. Но то, как работает наука, заключается не в насмешках, а в поиске убедительных доказательств, необходимых для того, чтобы склонить чашу весов. Вот как астрономы собираются разрешить крупнейшее противоречие в космологии и узнать, как на самом деле расширяется Вселенная.

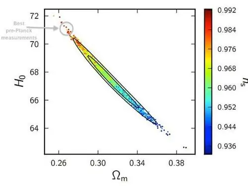
1.) Ошибается ли группа ранних реликвий? Еще до того, как у нас появился спутник Planck, у нас были COBE и WMAP. В то время как Планк дал нам карту остаточного свечения Большого Взрыва с угловым масштабом всего 0,07°, COBE смог уменьшить только примерно до 7°, а WMAP, хотя и намного лучше, позволил нам уменьшить только примерно до 0,5°. В данных имело место вырождение между тремя отдельными параметрами: плотностью вещества, скоростью расширения и скалярным спектральным индексом. Еще в эпоху WMAP данные на самом деле свидетельствовали о ~71 км/с/Мпк, хотя и с большой неопределенностью.

Image
Image

Только когда Планк привел нас к меньшим угловым масштабам, вырождение было нарушено, и мы обнаружили, что скорость расширения должна быть низкой. Причина в том, что в тех крошечных угловых масштабах закодирована информация о скалярном спектральном показателе (n_s, на диаграмме ниже), которые исключают большие значения скорости расширения (и, соответственно, малые значения плотности вещества) и учат Нам следует, что скорость расширения должна быть ближе к 67 км/с/Мпк с очень небольшой неопределенностью.

Возможно, однако, что что-то неверно или предвзято в нашем анализе малых угловых масштабов. Это должно было повлиять не только на Планк, но и на другие независимые эксперименты с реликтовым излучением. Даже если вы полностью избегаете CMB, вы все равно получите результат, показывающий, что ранний реликтовый метод дает гораздо более низкую скорость расширения по сравнению с тем, что показывает лестница расстояния.

Хотя мы не думаем, что это вероятно - и независимая ранняя реликтовая методика барионных акустических колебаний (или “лестница обратного расстояния”) также дает согласованные результаты - важно иметь в виду, что небольшой ошибка, которую мы должным образом не учли, может резко изменить наши выводы.

Image
Image

2.) Группа расстояний ошибочна? Это сложно. Существует множество различных методов измерения расстояний до объектов в расширяющейся Вселенной, но все они имеют несколько общих черт:

  • они начинают с прямого (например, геометрического) измерения расстояний до хорошо известных, легко видимых объектов в нашей собственной галактике,
  • мы видим те же типы объектов в других галактиках, что позволяет нам сделать вывод о расстоянии до этих галактик на основе известных свойств этих объектов,
  • и некоторые из этих галактик также содержат более яркие астрономические явления, что позволяет нам использовать их в качестве точки калибровки для исследования еще более далеких галактик.

Хотя исторически существует более дюжины различных индикаторов расстояния, самый быстрый и простой способ добраться до огромных космических расстояний теперь включает всего три шага: параллакс к переменным звездам, известным как цефеиды в нашей собственной галактика; отдельные цефеиды в других галактиках, некоторые из которых также содержат сверхновые типа Ia; а затем сверхновые типа Ia по всей Вселенной.

Image
Image

Используя этот метод, мы получаем скорость расширения 73 км/с/Мпк с погрешностью около 2-3%. Это явно не согласуется с результатами группы ранних реликвий. Понятно, что многие обеспокоены рядом возможных источников ошибок, и команды, работающие над дистанционной лестницей, очень малы по сравнению с командами, работающими над методом ранних реликвий.

Тем не менее, у дистанционных команд есть много причин быть уверенными в своих результатах. Их ошибки поддаются количественной оценке настолько хорошо, насколько можно надеяться, существуют независимые перекрестные проверки калибровки цефеид, помимо параллакса, и единственная потенциальная ловушка - это «неизвестное неизвестное», которое реально может поразить любую подобласть астрономии в любое время. время. Тем не менее, есть планы сделать еще лучше. Вот несколько способов, которыми астрономы будут проверять, действительно ли космическая лестница дает надежное измерение скорости расширения Вселенной.

Image
Image

Можем ли мы разработать конвейер для ввода удаленных ладдеров, как мы это сделали для ввода ранних реликвий? Прямо сейчас существует множество программ, которые могут либо взять набор космологических параметров и дать вам ожидаемый космический микроволновый фон, либо могут взять наблюдаемый космический микроволновый фон и дать вам космологические параметры, подразумеваемые этими измерениями.

Вы можете увидеть, как по мере изменения ваших данных меняются такие параметры, как плотность вещества, уравнение состояния темной энергии или скорость расширения, а также их планки погрешностей.

Команды дистанционной лестницы стремятся разработать аналогичный конвейер; одного еще не существует. Когда это будет завершено, мы сможем получить еще более точное представление об их систематике, но в лучшем виде, чем то, что мы имеем сегодня. Мы сможем увидеть, когда различные точки/наборы данных включены или исключены, как среднее значение, так и неопределенности в значении скорости расширения чувствительны к ним. (Хотя в 2016 году при анализе сверхновых рассматривалось более 100 моделей, и различия между ними не учитывали несоответствие во всех формах.)

Image
Image

Одним из потенциальных источников ошибок может быть то, что существует два класса сверхновых типа Ia: от аккрецирующих белых карликов и от слияния белых карликов. Повсюду есть старые звезды, а это означает, что мы должны повсюду видеть слияние белых карликов. Но только в областях, где новые звезды либо формируются, либо образовались недавно (известные как области HII), мы можем получить аккрецирующие белые карлики. Интересно, что переменные звезды-цефеиды, которые также являются частью лестницы расстояний, обнаруживаются только в регионах, где образовались новые звезды.

Мы не можем понять, какой класс сверхновых мы наблюдаем, когда смотрим на регионы, богатые цефеидами. Но если мы посмотрим в место, где нет молодых звезд, мы можем быть уверены, что видим сверхновые от слияния белых карликов. Есть веские основания полагать, что эта систематика невелика по сравнению с общим расхождением, но не все в этом убеждены. Использование другого индикатора промежуточного расстояния, такого как эволюционирующие звезды на вершине асимптотической гигантской ветви, обнаруженной во внешних гало галактик, устранит эту потенциальную систематическую ошибку. В настоящее время существует около дюжины измерений, выполненных различными группами дальномерных лестниц, которые показывают хорошее совпадение с цефеидами, но все еще необходимо провести дополнительную работу.

Image
Image

Наконец, есть окончательная проверка работоспособности: использование полностью независимого метода, который вообще не использует шкалу расстояний для измерения скорости расширения. Если бы вы могли измерить индикатор расстояния в разных местах по всей Вселенной, как вблизи, так и далеко, вы бы ожидали получить сигнал, который решит проблему раз и навсегда. Однако любому новому методу будут мешать низкая статистика и систематические ошибки, которые еще предстоит определить.

Тем не менее, есть два способа, которыми ученые пытаются это сделать прямо сейчас. Во-первых, через стандартные сирены, где вы получаете вдохновляющие и сливающиеся нейтронные звезды, хотя они будут предпочтительно близки в космическом масштабе. (Одну из них мы уже видели, но LIGO/Virgo ожидает гораздо больше в ближайшие десятилетия.) Другая - посредством измерений с временной задержкой многократно отображаемых сигналов от гравитационных линз. Первые такие наборы данных поступают сейчас из этого, с четырьмя известными линзами, демонстрирующими согласие с командой, занимающейся дистанционной лестницей, но впереди еще долгий путь.

Image
Image

Если все получится так, как многие надеются (а некоторые опасаются), это будет означать, что придется прибегнуть к третьему - и самому проблемному - варианту.

3.) Обе группы правы. Возможно, то, как мы измеряем скорость расширения Вселенной, имеет фундаментальное значение. к полученному нами значению. Если мы измерим космически близкие объекты и посмотрим вовне, мы получим результат около 73 км/с/Мпк. Если мы измерим скорость расширения по самым большим масштабам космических расстояний, то получим результат 67 км/с/Мпк. Этому есть ряд увлекательных объяснений, в том числе:

  • наш локальный регион Вселенной обладает необычными свойствами по сравнению со средними (хотя это уже не в пользу),
  • темная энергия со временем меняется неожиданным образом,
  • гравитация ведет себя иначе, чем мы ожидали в космических масштабах,
  • или существует новый тип поля или силы, пронизывающей Вселенную.

Но прежде чем мы перейдем к этим экзотическим сценариям, мы должны убедиться, что ни одна из групп не допустила ошибки. Даже небольшая предвзятость может объяснить весь этот текущий спор, несмотря на многочисленные независимые проверки. На карту поставлено наше понимание самой Вселенной, в которой мы живем. Невозможно переоценить важность проведения всех комплексных проверок и убедиться, что все сделано правильно.