Спросите Итана №39: Почему свет растягивается по мере расширения Вселенной?

Спросите Итана №39: Почему свет растягивается по мере расширения Вселенной?
Спросите Итана №39: Почему свет растягивается по мере расширения Вселенной?

Общая теория относительности действительно делает некоторые парадоксальные предсказания.

«Говорят, Вселенная расширяется. Это должно помочь с трафиком».

- Стивен Райт

Каждую неделю в программе «Спросите Итана» я погружаюсь в вопросы и предложения, которые вы прислали, и выбираю наиболее понравившиеся, чтобы ответить вам и всему миру. Вопрос этой недели дурацкий, и он исходит от Микко, который спрашивает:

Чтение вашего последнего поста о космической инфляции заставило меня задуматься над вопросом, который много раз приходил мне в голову, когда я пытался понять подобные темы   отношение между длиной волны света и расширением пространства. Здесь мы имеем аналогию с воздушным шаром или резиновой полоской с нарисованной на ней волной, расширяющейся по мере растяжения резиновой полоски. Но так ли это должно быть? Разве свет не может продолжаться, сохраняя свою частоту и длину волны, независимо от того, расширяется или сжимается пространство вокруг него или что-то еще?

Это большой-большой вопрос, так что давайте начнем с начала для некоторого контекста.

Image
Image

Не секрет, что наша наблюдаемая Вселенная началась с Большого Взрыва: набора начальных условий, которые говорят нам, что наша Вселенная была горячее, плотнее, компактнее и быстро расширялась в прошлом. Вселенная продолжает расширяться и сегодня, и все, что не связано гравитацией, продолжает расширяться бесконечно.

В среднем сегодня мы можем представить себе построение сферы вокруг заданного объема Вселенной, заключающей в себе всю материю и энергию внутри. А если мы экстраполируем назад в прошлое, то то же самое количество частиц будет заключено в гораздо меньшую сферу.

Image
Image

Теперь вы должны помнить, что это не пространство вашего прапрадеда, с идеей, что координаты фиксированы, что расстояния между любыми двумя точками четко определены, и что наблюдатели в разных местах договариваются о том, что они видят (и когда). Это Вселенная, управляемая общей теорией относительности, где пространство и время связаны с энергией, импульсом и положением любого наблюдателя внутри нее.

Если бы мы считали себя лишь одним конкретным, но сколь угодно долгоживущим наблюдателем в этой Вселенной, и смотрели бы на положения галактик такими, какими они были много миллиардов лет назад, а затем снова сегодня, то что увидим ли мы?

Image
Image

Мы увидели бы, что положения галактик изменились очень подобно тому, как семена изменили положение в буханке хлеба, которую разрыхляли. Обратите внимание, однако, что сами семена не расширяются, потому что они связаны гравитацией. Вселенная расширяется вокруг них, увеличивая расстояние между ними, но такие вещи, как отдельные планеты, звезды, галактики, даже группы и скопления галактик сами по себе не расширяются вместе со Вселенной; они только расширяются от других связанных структур, с которыми они сами не связаны.

Другими словами, ваша талия может увеличиваться, но вы не можете винить в этом Вселенную!

Image
Image

Почему это происходит?

Виновником всего этого, как вы могли догадаться, является природа самого пространства-времени. То, как развивается Вселенная , как увеличиваются или сокращаются расстояния для наблюдателя в любой системе отсчета  , определяется количеством материи и энергии во Вселенной. Это ключевое открытиеОбщей теории относительности применительно к космологии: материя и энергия во всех их формах, присутствующих во Вселенной, определяют эволюцию пространства и времени. И это происходило на протяжении всей истории известной Вселенной и, насколько мы можем судить, будет продолжать делать это сколь угодно далеко в будущем.

Image
Image

Итак, наконец, а как насчет света? Вы можете визуализировать что-то вроде того, что описал Микко  - поверхность расширяющегося воздушного шара - и представить, что вы нарисовали на ней линии сетки. Поскольку энергия фотонов (света) определяется их длиной волны, само собой разумеется, что по мере расширения Вселенной (или, в теории, ее сжатия) длина волны будет растягиваться вместе с расширяющейся Вселенной (или сжиматься, в случае сжимающейся Вселенной), вызывая ее красное (или, соответственно, синее) смещение.

Image
Image

Теперь вы можете спросить себя, почемуэто происходит, и как мы можем быть уверены, что именно этот эффект имеет место? В конце концов, Вселенная может расширяться, но это не единственное, что может вызвать красное смещение.

В частности, вы также слышали об эффекте Доплера, который заставляет сирену полиции/скорой помощи звучать выше, когда она движется к вам, и ниже, когда она удаляется от вас.

Image
Image

Так же, как гребни звуковых волн сжимаются в направлении движения и растягиваются в противоположном направлении, свет ведет себя точно так же! Если источник света движется от вас, этот свет кажется смещенным в красную сторону, а если этот источник движется к вам, свет кажется смещенным в голубую сторону.

Image
Image

Но вы также должны помнить, что, согласно общей теории относительности, гравитация также влияет на энергию фотонов. (Помните, пространство-время и материя/энергия неразрывно связаны!) Подумайте о том, как искривляется пространство из-за наличия массы, и подумайте о том, как это должно выглядеть вокруг Земли, если вы попытаетесь это представить.

Image
Image

Когда мы посылаем сигналы в космос и обратно на Землю - например, для GPS - мы должны учитывать релятивистские эффекты не только движения, что является специальной теорией относительности, но и гравитационного поля земли.

Представьте, что произошло бы, если бы у меня были электрон и позитрон, пара частиц материи/антиматерии высоко над Землей. Когда я их аннигилирую, они произведут энергию в виде двух фотонов совершенно особой энергии: энергии, эквивалентной массам покоя частиц!

Image
Image

А что, если я сброшу эти частицы высоко над Землей, аннигилирую их там, а затем позволю фотонам достичь поверхности Земли? Будут ли они той же энергией на поверхности Земли, что и в космосе?

У вас может возникнуть соблазн сказать «да», но это нарушит закон сохранения энергии. Подумайте о том, что произойдет, если я вместо этого уроню эти частицы и позволю им упасть. Когда они спускались к поверхности Земли, они собирали кинетическую энергию, двигаясь все быстрее и быстрее по мере падения. Незадолго до удара о поверхность Земли они находят друг друга и уничтожают.

Image
Image

Не должно иметь значения, аннигилируют ли частицы, а затем падают, или падают, а затем аннигилируют; по закону сохранения энергии должно быть гравитационное смещение энергии фотоновпо мере изменения гравитационных свойств пространства!

Я привожу это, чтобы вы поняли, что есть две возможности возникновения красного смещения. А теперь мы подошли к галактикам, найденным вблизи и далеко в нашей расширяющейся Вселенной.

Image
Image

Это красное смещение происходит из-за того, что пространство растягивается (т. е. по гравитационной причине), или это красное смещение происходит из-за того, что галактики, излучающие излучение, удаляются от нас?

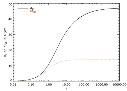
Что фантастического в этом понятии, так это то, что, если это последнее, поскольку существует предел космической скорости - скорость света - галактики, которые мы видим на больших расстояниях, должны иметь отличнаяотношение красного смещения к расстоянию, чем предсказывает Общая теория относительности! Предыдущий (GR) прогноз показан ниже черным цветом, в то время как не-GR прогноз о том, что красное смещение не связано с пространством-временем (определяется просто скоростью света, умноженной на время ретроспективного анализа), показан красным.

Image
Image

Это важное космическое испытание, потому что, если длина волны света не растягивается по мере расширения Вселенной, нельзя объяснить Космический микроволновый фон, и, следовательно, Большой взрыв был бы неверным!

К счастью, общая теория относительности проходит этот тест с честью, и частота/длина волны действительно меняются по мере расширения Вселенной, что мы напрямую измеряли различными способами, в том числе путем измерения температуры в разные эпохи. в истории Вселенной.

Image
Image

И вот почему - во Вселенной, управляемой общей теорией относительности, которая, по-видимому, является нашей Вселенной - свет должен смещаться в красную или в синюю сторону по мере того, как Вселенная расширяется или сжимается, или по мере развития гравитационных свойств пространства в целом.

Спасибо за отличный вопрос, и я надеюсь, что вам понравился этот выпуск Ask Ethan. Присылайте свои вопросы и предложения сюда, и следующая колонка может быть посвящена тому, что вы выберете!

Есть комментарий? Оставьте это на форуме Starts With A Bang в Scienceblogs!