Ученые не могут прийти к единому мнению о расширяющейся Вселенной

Ученые не могут прийти к единому мнению о расширяющейся Вселенной
Ученые не могут прийти к единому мнению о расширяющейся Вселенной

Это либо космическая тайна, либо ужасно приземленная ошибка.

Вселенная расширяется, и каждый ученый в этой области согласен с этим. Наблюдения подавляющим большинством подтверждают этот простой вывод, и с конца 1920-х годов ни одна альтернатива не смогла сравниться с его успехами. Но в научных усилиях успех не может быть просто качественным; нам нужно понять, измерить и количественно оценить расширение Вселенной. Нам нужно знать, насколько расширяется Вселенная.

На протяжении поколений астрономы, астрофизики и космологи пытались уточнить наши измерения скорости расширения Вселенной: постоянной Хаббла. После многих десятилетий дебатов ключевой проект космического телескопа Хаббл, похоже, решил проблему: 72 км/с/Мпк с погрешностью всего 10%. Но сейчас, 17 лет спустя, ученые не могут с этим согласиться. Один лагерь утверждает ~67 км/с/Мпк; другие утверждают ~73 км/с/Мпк, и ошибки не перекрываются. Что-то или кто-то не так, и мы не можем понять, где именно.

Причина, по которой это такая проблема, заключается в том, что у нас есть два основных способа измерения скорости расширения Вселенной: с помощью лестницы космических расстояний и с помощью наблюдения за сигналами, исходящими из самых ранних моментов Большого Хлопнуть. Эти два метода очень разные.

  • Для лестницы расстояний мы смотрим на близлежащие, хорошо понятные объекты, затем наблюдаем те же типы объектов в более удаленных местах, затем делаем вывод о расстоянии до них, затем используем свойства, которые мы наблюдаем на этих расстояниях, чтобы двигаться еще дальше и т. д. Построив измерения красного смещения и расстояния, мы можем реконструировать скорость расширения Вселенной.
  • Для метода ранних сигналов мы можем использовать либо остаточный свет Большого взрыва (Космический микроволновый фон), либо корреляционные расстояния между далекими галактиками (из барионных акустических колебаний) и посмотреть, как эти сигналы развиваются со временем по мере расширения Вселенной.

Первый метод, по-видимому, дает более высокое значение ~73 км/с/Мпк, а второй дает ~67 км/с/Мпк.

Image
Image

Это должно вас сильно обеспокоить. Если мы правильно понимаем, как работает Вселенная, то каждый метод, который мы используем для ее измерения, должен давать одни и те же свойства и одну и ту же историю о космосе, в котором мы живем. Независимо от того, используем ли мы красные гигантские звезды или голубые переменные звезды, вращающиеся спиральные галактики или обращенные лицом к спиралям с флуктуирующей яркостью, роящиеся эллиптические галактики или сверхновые типа Ia, космический микроволновый фон или корреляции галактик, мы должны получить ответ, который согласуется со Вселенной. с теми же свойствами.

Но этого не происходит. Метод дистанционной лестницы систематически дает более высокое значение примерно на 10%, чем метод ранних сигналов, независимо от того, как мы измеряем дистанционную лестницу или какой ранний сигнал используем. Вот наиболее точный метод для каждого из них.

Image
Image

1.) Лестница расстояний: начните со звезд в нашей собственной галактике. Измерьте расстояние до них с помощью параллакса - именно так видимое положение звезды меняется в течение земного года. По мере того, как наш мир движется вокруг Солнца, видимое положение ближайшей звезды будет смещаться относительно фоновых; величина сдвига говорит нам о расстоянии до звезды.

Некоторые из этих звезд будут переменными звездами-цефеидами, которые демонстрируют определенное соотношение между их светимостью (собственной яркостью) и периодом пульсации: закон Ливитта. Цефеиды многочисленны в нашей собственной галактике, но их также можно увидеть в далеких галактиках.

Image
Image

И в некоторых из этих далеких галактик, содержащих цефеиды, также наблюдаются сверхновые типа Ia. Эти сверхновые можно наблюдать по всей Вселенной, прямо здесь, на нашем космическом заднем дворе, до галактик, расположенных за многие миллиарды или даже десятки миллиардов световых лет от нас.

Всего три ступени:

  • измерение параллакса звезд в нашей галактике, в том числе некоторых цефеид,
  • измерение цефеид в близлежащих галактиках на расстоянии до 50-60 миллионов световых лет, некоторые из которых содержат сверхновые типа Ia,
  • и затем измерение сверхновых типа Ia в отдаленных уголках расширяющейся Вселенной,

мы можем реконструировать, какова скорость расширения сегодня и как эта скорость расширения менялась с течением времени.

Image
Image

2.) Ранние сигналы: альтернативно, начните с Большого взрыва и знания о том, что наша Вселенная заполнена темной материей, темная энергия, нормальная материя, нейтрино и излучение.

Что должно случиться?

Массы будут притягиваться друг к другу и пытаться подвергнуться гравитационному коллапсу, при этом более плотные области будут притягивать все больше и больше окружающего вещества. Но изменение гравитации приводит к изменению давления, в результате чего радиация выходит из этих областей, работая на подавление гравитационного роста.

Забавно вот что: у обычной материи есть поперечное сечение взаимодействия с излучением, а у темной материи - нет. Это приводит к специфической «акустической картине», когда нормальная материя испытывает эти отскоки и сжатия от излучения.

Image
Image

Это проявляется в определенном наборе пиков температурных колебаний Космического микроволнового фона и в определенной шкале расстояний, где вы с большей вероятностью найдете галактику, чем ближе или дальше. По мере расширения Вселенной эти акустические масштабы меняются, что должно приводить к сигналам как в Космическом Микроволновом Фоне (два изображения вверх), так и в масштабах скопления галактик (одно изображение вверх).

Измеряя, каковы эти масштабы и как они меняются с расстоянием/красным смещением, мы также можем получить скорость расширения Вселенной. В то время как метод лестницы расстояний дает скорость около 73 ± 2 км/с/Мпк, оба этих метода ранних сигналов дают скорость 67 ± 1 км/с/Мпк. Цифры разные и не пересекаются.

Image
Image

Есть много возможных объяснений. Вполне возможно, что близлежащая Вселенная обладает другими свойствами, чем сверхдалекая, ранняя Вселенная, и поэтому обе команды правы. Возможно, темная материя или темная энергия (или что-то, что их имитирует) со временем меняется, что приводит к различным измерениям с использованием разных методов. Возможно, какая-то новая физика или что-то еще притягивает нашу Вселенную из-за космического горизонта. Или, возможно, что в наших космологических моделях есть какой-то фундаментальный изъян.

Но эти возможности фантастические, зрелищные, сенсационные. Они могут получить подавляющее большинство прессы и престижа, поскольку они изобретательны и умны. Но есть и гораздо более приземленная возможность, которая гораздо более вероятна: Вселенная просто везде одинакова, а один из методов измерения изначально необъективен.

Image
Image

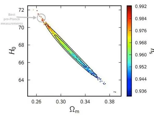
Трудно определить потенциальные погрешности в методах раннего сигнала, потому что измерения с помощью WMAP, Planck и Sloan Digital Sky Survey очень точны. В космическом микроволновом фоне, например, мы очень хорошо измерили плотность вещества Вселенной (около 32% ± 2%) и скалярный спектральный индекс (0,968 ± 0,010). Имея такие измерения, очень сложно получить значение постоянной Хаббла, превышающее примерно 69 км/с/Мпк, что на самом деле является верхним пределом.

Там могут быть ошибки, которые искажают нас, но нам трудно перечислить, что они могут быть.

Image
Image

Для метода дистанционной лестницы их предостаточно:

  • Наши методы параллакса могут быть смещены из-за гравитации в нашем локальном солнечном районе; искривленное пространство-время, окружающее наше Солнце, может систематически изменять наши определения расстояния.
  • Мы ограничены в нашем понимании цефеид, включая тот факт, что существует два их типа, и некоторые из них находятся в нетронутых средах.
  • А сверхновые типа Ia могут быть вызваны либо аккрецией белых карликов, либо столкновением и слиянием белых карликов. как они сделаны, чем мы сейчас понимаем.

Расхождение между этими двумя разными способами измерения расширяющейся Вселенной может быть просто отражением нашей чрезмерной уверенности в том, насколько малы наши ошибки на самом деле.

Image
Image

Вопрос о том, насколько быстро расширяется Вселенная, беспокоил астрономов и астрофизиков с тех пор, как началось первое расширение. Невероятное достижение, что множественные независимые методы дают ответы, согласующиеся с точностью до 10 %, но они не согласуются друг с другом, и это беспокоит.

Если есть ошибка в параллаксе, цефеидах или сверхновых, скорость расширения может быть действительно низкой: 67 км/с/Мпк. Если это так, Вселенная встанет на свои места, когда мы осознаем свою ошибку. Но если группа Космического Микроволнового Фона ошибается и скорость расширения приближается к 73 км/с/Мпк, это предвещает кризис современной космологии. Во Вселенной не может быть плотности темной материи, и начальные флуктуации 73 км/с/Мпк подразумевают это.

Либо одна команда допустила неустановленную ошибку, либо наша концепция Вселенной нуждается в революции. Ставлю на первое.