Почему полемика о расширяющейся Вселенной в космологии - еще большая проблема, чем вы думаете

Вселенная расширяется, но разные методы не могут прийти к единому мнению о том, насколько быстро. Несмотря ни на что, что-то важное должно дать.

Взгляните на далекую галактику, и вы увидите ее такой, какой она была в далеком прошлом. Но свет, прибывающий после, скажем, миллиардного путешествия, будет исходить не из галактики, которая находится в миллиарде световых лет от нас, а из той, которая еще дальше. Почему это? Потому что сама ткань нашей Вселенной расширяется. Это предсказание общей теории относительности Эйнштейна, впервые сделанное в 1920-х годах, а несколько лет спустя подтвержденное наблюдениями Эдвина Хаббла, стало одним из краеугольных камней современной космологии.

Image
Image

Значение скорости расширения, однако, оказалось труднее определить. Если мы сможем точно измерить ее, а также то, из чего состоит Вселенная, мы сможем узнать целый ряд жизненно важных фактов о Вселенной, в которой мы все живем. Это включает в себя:

  • как быстро Вселенная расширялась в любой момент в прошлом,
  • сколько лет Вселенной с первых моментов горячего Большого Взрыва,
  • какие объекты гравитационно связаны друг с другом, а какие будут расширяться,
  • и какова на самом деле окончательная судьба Вселенной.

Уже много лет назревает спор. Два разных метода измерения - один с использованием лестницы космических расстояний и один с использованием первого наблюдаемого света во Вселенной -  дают результаты, которые взаимно несовместимы. Хотя возможно, что одна (или обе) группы ошибаются, напряженность имеет огромные последствия для того, чтобы что-то было не так с тем, как мы понимаем Вселенную.

Image
Image

Если вы хотите узнать, как быстро расширяется Вселенная, самый простой метод восходит к самому Хабблу. Просто измерьте две вещи: расстояние до другой галактики и скорость, с которой она удаляется от нас. Сделайте это для всех галактик, которые вы получите в качестве функции расстояния, и вы сможете вывести современную скорость расширения Вселенной. В принципе, это очень просто, но на практике возникают некоторые проблемы.

Измерить скорость разбегания несложно: свет излучается с определенной длиной волны, расширение Вселенной растягивает эту длину волны, и мы наблюдаем растянутый свет по мере его прихода. По степени растяжения мы можем сделать вывод о его скорости. Но для измерения расстояния требуется внутреннее знание того, что мы измеряем. Только зная, насколько абсолютно, по своей сути яркий объект, мы можем сделать вывод, исходя из наблюдаемой нами яркости, насколько далеко он находится на самом деле.

Image
Image

Это концепция лестницы космических расстояний, но она очень рискованна. Любые ошибки, которые мы допускаем, когда делаем выводы о расстояниях до ближайших галактик, будут усугубляться по мере того, как мы уходим на все большие и большие расстояния. Любая неточность в определении собственной яркости индикаторов, которые мы наблюдаем, приведет к ошибкам расстояния. И любые ошибки, которые мы допускаем при калибровке объектов, которые пытаемся использовать, могут исказить наши выводы.

В последние годы наиболее важными астрономическими объектами для этого метода являются переменные звезды-цефеиды и сверхновые типа Ia.

Image
Image

Наша точность ограничена:

  • наше понимание цефеид, включая период их пульсации и светимость,
  • тип цефеид, которым они принадлежат,
  • измерения параллакса цефеид,
  • и знания об окружающей среде, в которой мы их наблюдаем.

Хотя по-прежнему существуют значительные неопределенности, над пониманием которых мы работаем, наилучшее значение скорости расширения, полученное с помощью этого метода, H_0, составляет 73 км/с/Мпк с погрешностью менее 3%..

Image
Image

С другой стороны, есть второй метод: использование света, оставшегося от Большого Взрыва, который мы видим сегодня как Космический Микроволновый Фон. Вселенная изначально была почти идеально однородной, с одинаковой плотностью повсюду. Однако были крошечные несовершенства в плотности энергии на всех масштабах. Со временем материя и излучение взаимодействовали, сталкивались, а гравитация работала над тем, чтобы притягивать все больше и больше материи в области наибольшей сверхплотности.

По мере того, как Вселенная расширялась, она охлаждалась, так как излучение внутри нее смещалось в красную сторону. В какой-то момент она достигла достаточно низкой температуры, чтобы могли образоваться нейтральные атомы. Когда протоны, атомные ядра и электроны объединились в нейтральные атомы, Вселенная стала прозрачной для этого света. Теперь, когда сигнал всех этих взаимодействий отпечатан на этом свете, мы могли бы использовать эти колебания температуры во всех масштабах, чтобы сделать вывод о том, что было во Вселенной и как быстро она расширялась.

Image
Image

Результаты известны с необычайно точной точностью, что позволяет нам делать выводы о том, из чего состоит Вселенная и насколько быстро она расширяется. Хотя обычно более заметным выводом является то, что наша Вселенная богата темной материей и темной энергией, мы также узнаем скорость расширения: H_0=67 км/с/Мпк с погрешностью около ±1 км/с/Мпк. на том.

Это потенциально очень большая проблема. Есть много потенциальных решений, например, у одной группы есть систематическая ошибка, которую они не учли. Возможно, в далекой Вселенной происходит что-то отличное от близлежащей Вселенной, а это означает, что обе группы правы. И не исключено, что ответ находится где-то посередине. Но в космическом масштабе, если результаты из далекой Вселенной неверны, мы находимся в большом затруднении.

Image
Image

Космический микроволновый фон содержит невероятное количество информации. С тех пор как спутник Planck опубликовал свои первые результаты, мы смогли извлечь огромное количество этой информации. К счастью (или к сожалению, в зависимости от того, как на это посмотреть), многие извлеченные параметры, имеющие пространство для маневра, привязаны к другим параметрам, которые можно ограничить другими способами.

Постоянная Хаббла, плотность вещества и скалярный спектральный индекс (описывающий избыточную и недостаточную плотность во Вселенной) являются одним из примеров таких связанных параметров. Проблема в том, что вы не можете изменить одно, не изменив другие.

Image
Image

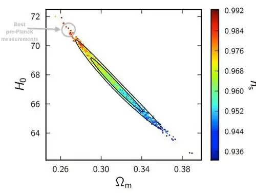
У нас есть измерения этих параметров, которые очень точны из других источников, помимо одного только космического микроволнового фона. Например, барионные акустические колебания и крупномасштабная структура Вселенной накладывают очень жесткие ограничения как на плотность вещества, так и на скалярный спектральный индекс; мы знаем, что первое должно быть между 28-35%, а второе должно быть равно примерно 0,968 ± 0,010.

Но если команда Планка ошибается относительно скорости расширения Вселенной, а команда по лестнице расстояний права, то во Вселенной будет слишком мало материи (около 25%) и слишком высокий спектральный индекс (около 0,995), чтобы согласовываться с наблюдениями. Спектральный индекс, в частности, оказался бы явно в огромном противоречии. Эта крошечная разница, скажем, от 0,96 до 1,00, несовместима с данными.

Image
Image

Вопрос о том, как быстро расширяется Вселенная, беспокоил астрономов и астрофизиков с тех пор, как мы впервые осознали необходимость космического расширения. Невероятно впечатляет то, что два полностью независимых метода дают ответы с точностью менее 10 %, но тот факт, что они не согласуются друг с другом, вызывает беспокойство.

Если группа лестницы расстояний ошибочна, а скорость расширения действительно находится на низком уровне и составляет около 67 км/с/Мпк, Вселенная может выровняться. Но если группа космического микроволнового фона ошибается, а скорость расширения ближе к 73 км/с/Мпк, у нас просто может быть кризис в современной космологии.

Во Вселенной не может быть такой плотности темной материи и начальных флуктуаций, которые подразумевались бы при таком значении. Пока эта загадка не решена, мы должны быть готовы к тому, что космическая революция может появиться на горизонте.