Спросите Итана №31: Почему мы сделаны из материи?

Спросите Итана №31: Почему мы сделаны из материи?
Спросите Итана №31: Почему мы сделаны из материи?

Если Вселенная началась с равного количества материи и антиматерии, почему материя доминирует в сегодняшнем космосе?

«Возможно, вы не чувствуете себя особенно крепким, но если вы взрослый человек среднего роста, в вашем скромном теле будет не менее 7 × 10^18 джоулей потенциальной энергии - достаточно, чтобы взорваться с силой тридцати очень больших водородных бомб, при условии, что вы знаете, как освободить его, и действительно хотите добиться чего-то». - Билл Брайсон

В конце каждой недели я просматриваю лучшие из присланных вами вопросов и предложений и выбираю один из них для нашей еженедельной рубрики «Спросите Итана». На этой неделе честь достается Джастину Старру, который спрашивает следующее:

Насколько я понимаю, в зарождающейся Вселенной было равное количество частей материи и антиматерии, за которыми последовала серьезная аннигиляция материи/антиматерии. Почему (как) материя в конце концов победила?

Джастин спрашивает об одной из величайших неразгаданных тайн нашей Вселенной.

Подумайте об этих двух, казалось бы, противоречивых фактах:

Image
Image

1.) Каждое взаимодействие между частицами, которое мы когда-либо наблюдали, при всех энергиях никогда не создавало и не разрушало ни одной частицы материи, не создавая при этом или разрушая равное количество частиц антиматерии. Физическая симметрия между материей и антиматерией еще более строгая, чем это:

  • каждый раз, когда мы создаем кварк, мы также создаем антикварк,
  • каждый раз, когда уничтожается кварк, уничтожается и антикварк,
  • каждый раз, когда мы создаем-или-уничтожаем лептон, мы также создаем-или-уничтожаем антилептон из того же семейства лептонов, и
  • каждый раз, когда кварк или лептон испытывает взаимодействие, столкновение или распад, общее число кварков и лептонов в конце реакции (кварки минус антикварки, лептоны минус антилептоны) одинаково в конце, как это было в начале.

Единственный способ, которым мы когда-либо создавали больше (или меньше) материи во Вселенной, заключался в том, чтобы также производить больше (или меньше) антиматерии в равных количествах. И все же, есть второй факт:

Image
Image

2.) Когда мы смотрим на Вселенную, на все звезды, галактики, газовые облака, скопления, сверхскопления и крупнейшие структуры повсюду, все кажется быть состоящим из материи, а не из антиматерии. Везде и везде, где антиматерия и материя встречаются во Вселенной, происходит фантастический всплеск энергии из-за аннигиляции частица-античастица.

Мы действительно наблюдаем эту аннигиляцию в некоторых местах, но только вокруг гиперэнергетических источников, которые производят материю и антиматерию в равных количествах. Когда антиматерия сталкивается с материей во Вселенной, она испускает гамма-лучи очень специфических частот, которые мы затем можем обнаружить.

Но если мы посмотрим на межзвездную и межгалактическую среду - пространство между звездами внутри галактик и пространство между галактиками в еще больших масштабах - мы обнаружим, что оно полно материала, даже если его нет звезды во многих из этих регионов. Космос, конечно, огромен, а плотность материи незначительна, поэтому вам может быть интересно, если вы бросите в смесь единственную частицу антиматерии (скажем, антипротон), как долго она продержится, прежде чем наткнется на частицу материя в среднем уничтожающая.

Image
Image

В межзвездной среде нашей собственной галактики среднее время жизни будет порядка 300 лет, что очень мало по сравнению с возрастом нашей галактики! Это ограничение говорит нам, что, по крайней мере, в Млечном Пути количество антивещества, которое может быть смешано с материей, которую мы наблюдаем, составляет не более 1 части в 10^15!

На больших масштабах - галактик и скоплений галактик, например - ограничения менее строгие, но все же очень сильные. С наблюдениями, охватывающими расстояние от нескольких миллионов световых лет до более чем трех миллиардов световых лет, мы наблюдали нехватку рентгеновских и гамма-лучей, которые мы ожидаем от аннигиляции материи и антиматерии. Мы увидели, что даже в больших космологических масштабах 99,999%+ того, что существует в нашей Вселенной, определенно состоит из материи (как и мы), а не из антиматерии.

Image
Image

И это нижний предел того, насколько сильно материя доминирует над антиматерией во Вселенной, согласно наблюдениям.

Итак, с одной стороны, у нас есть результаты наших экспериментов, которые показывают невозможность создания или уничтожения материи без создания или уничтожения равного количества антиматерии, а с другой стороны, мы получили нашу Вселенную, которая, насколько нам известно, состоит практически на 100% из материи и практически на 0% из антиматерии. Так что же дает?

Если мы хотим понять, как это могло произойти, мы должны вернуться к самой ранней Вселенной, сразу после окончания инфляции и Большого Взрыва: ко времени, когда Вселенная была горячий, плотный и полный материи, антиматерии и радиации.

Image
Image

На самых ранних стадиях Вселенной все, что мы знаем, было невероятно горячим и плотным. Та часть, которая сегодня составляет наблюдаемую Вселенную, содержала около 10^90 (или около того) частиц материи, антиматерии и излучения, причем материя и антиматерия предположительно находились в равных количествах. Вещи были настолько энергичными, что всякий раз, когда любые две частицы сталкивались, они могли спонтанно производить материю и антиматерию в равных количествах, а когда сталкивались материя и антиматерия, они превращались в чистое излучение. И это происходило везде, постоянно.

Image
Image

Если бы все, что Вселенная могла сделать, это создать пары материи/антиматерии и заставить их снова аннигилировать, наша Вселенная выглядела бы совсем иначе, чем сегодня. Теоретически, если бы не было асимметрии материи/антиматерии, поскольку Вселенная охлаждалась и расширялась, мы бы быстро достигли точки, когда создание новых пар стало бы невозможным, существующие пары материи и антиматерии аннигилировали бы до тех пор, пока вещи не стали бы настолько разреженными, что мы больше не сможем найти друг друга, и у нас останется Вселенная, заполненная в основном фотонами и небольшим количеством оставшейся материи и антиматерии.

Сколько в количественном выражении осталось бы? Насколько нам известно, около 10 ^ 70 частиц материи и антиматерии каждая, при соотношении фотонов и протонов около 10 ^ 20. Другими словами, на каждый протон во Вселенной приходилось примерно 100 000 000, 000, 000, 000 000 фотонов и столько же антипротонов, сколько протонов.

Но на самом деле мы можем измерить соотношение фотонов и протонов.

Image
Image

И это далеко не такая серьезная асимметрия. Да, фотонов во много-много раз больше, чем протонов, но соотношение больше похоже на пару миллиардов к одному (почти без антиматерии), что говорит нам о том, что что-то произошлов очень ранней Вселенной, чтобы создать фундаментальную асимметрию вещества и антивещества. И, насколько нам известно, эта асимметрия происходила везде (и происходила с одинаковой величиной везде), что мы можем видеть.

Теперь, если вы хотите узнать, как это произошло, добро пожаловать в клуб. Это проблема бариогенеза, и это одна из величайших нерешенных проблем в фундаментальной физике. Но то, что мы точно не знаем, как это могло произойти, не означает, что у нас нет хорошего общего представления о том, как это произошло! В частности, Андрей Сахаров показал, что при выполнении всего трех условий можно создать асимметрию материи-антиматерии из исходно симметричного состояния:

  1. Неравновесные условия,
  2. C-нарушение и CP-нарушение, и
  3. Взаимодействия, нарушающие барионное число.

Вот и все. Эти три вещи. И, насколько нам известно, во Вселенной должны быть все три из них!

Неравновесные условия Это самое простое. Если у вас есть большая, горячая, расширяющаяся и охлаждающаяся Вселенная, управляемая общей теорией относительности и законами квантовой теории поля, поздравляем: у вас неравновесные условия! Помните, что равновесие - это когда все частицы в системе имеют возможность взаимодействовать или обмениваться информацией друг с другом. Но в нашей расширяющейся, остывающей Вселенной частицы с одной стороны причинно не связаны с частицами с другой; на самом деле, в очень ранней Вселенной было около 10^50+ причинно несвязанных областей, где даже свету не хватило бы времени проникнуть из одной области в другие.

Ранняя Вселенная была не только неравновесной, но вам было бы трудно создать систему, даже в принципе более неравновесную, чем эта.

C -нарушение и CP -нарушение C обозначает зарядовое сопряжение (что означает замену всех частиц на античастицы, а всех античастиц на частицы), а P означает четность (что означает отражать все в зеркале). По сути, C и P сохраняются, если вы накладываете симметрию и законы физики - и все физические явления - остаются неизменными, а CP сохраняется, если вы можете наложить обе симметрии одновременно и все явления остаются неизменными.

В нашей Вселенной гравитационные, электромагнитные и сильные взаимодействия, по-видимому, сохраняют C, P и CP. Но слабые взаимодействия их нарушают! В частности, известно, что распады мезонов, содержащих странные кварки (каоны) и нижние кварки (B-мезоны), довольно сильно нарушают C, P и CP, а это означает, что существуют некоторые фундаментальные различия в поведении частиц и их античастиц. Итак, у нас есть два из трех.

И наконец…

Взаимодействия, нарушающие барионное число Это очень сложно, потому что мы никогда экспериментально не наблюдали рождение кварка без антикварковый аналог. (А барион - это просто любая частица, состоящая из трех кварков, как протон или нейтрон. Помните, кварки существуют в природе только в связанных состояниях!), должен  - иметь такие взаимодействия.

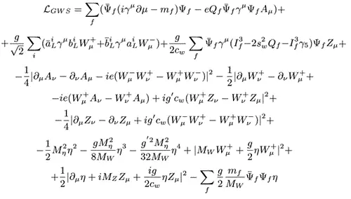
Я собираюсь показать вам уравнения поля, которые управляют Стандартной моделью физики элементарных частиц. (Не беспокойтесь о деталях, пожалуйста.)

Image
Image

Что важно в этом, так это то, что существует математическое свойство этого уравнения, известное как аномалия, которая требуется для ряда распадов частиц, которые мы наблюдаем - таких как распад нейтрального пиона - , что также позволяет за нарушение барионного числа. На самом деле то, что он явно допускает, - это нарушение как барионного (например, протона), так и лептонного (например, электрона) числа, но они должны нарушаться вместе, а это означает, что Вселенная должна иметь одинаковое общее количество барионов и лептонов.! (Это четко объясняет, почему существует равное количество протонов и электронов, и, следовательно, почему Вселенная не только имеет протоны и электроны, но и по-прежнему электрически нейтральна.)

Большой вопрос, конечно, возникает, когда мы начинаем вводить числа. На основе:

  1. Насколько Вселенная вышла из равновесия,
  2. Количество наблюдаемых C- и CP-нарушений и
  3. Величина, на которую Стандартная модель нарушает барионное число,

достаточно ли нарушений барионного числа?

Image
Image

Ответ - насколько нам известно на данный момент - выглядит как нет, не совсем. (Мы все еще в несколько десятков миллионов раз меньше.) Теперь может быть намного больше CP - нарушающих взаимодействия в Стандартной модели при более высоких энергиях, которые мы просто еще не обнаружили, но наиболее распространенное предположение заключается в том, что существует физика за пределами Стандартной модели, которая допускает большее количество либо CP-нарушения, либо нарушения барионного числа.

Некоторые возможности включают (но не ограничиваются):

  • Механизм Аффлека-Дайна, основанный на суперсимметрии,
  • Расширения стандартной модели в электрослабом масштабе,
  • Лептогенез, где создается фундаментальная лептонная асимметрия (возможно, из новой физики нейтрино), а затем из нее возникает барионная асимметрия, или
  • бариогенезис в масштабе великого объединения, где новая физика в масштабе электрослабого объединения с сильным взаимодействием позволяет нам создавать больше материи, чем антиматерии.

Возможно, для вас это просто бессмысленные слова, поэтому позвольте мне показать вам пример того, как это может произойти, используя сценарий в масштабе GUT. (Отказ от ответственности: это, вероятно, не так, как это происходит на самом деле; этот сценарий предназначен только для иллюстративных целей.)

Представьте себе раннюю Вселенную, полную излучения и всевозможных частиц и античастиц, причем последние существуют в равном количестве друг к другу. Одни из них являются кварками и антикварками, другие - лептонами и антилептонами, третьи - бозонами (и их античастицами, где это применимо; многие бозоны - сами себе античастицы) и т. д.

Теперь представьте, что существует новый тип частиц, которые связаны как с кварками, так и с лептонами, и представьте, что они заряжены. Я назову его Q -частица.

Изначально - как и все частицы материи и антиматерии - он создается парами в горячей ранней Вселенной. Иногда Q+, версия материи, находит Q-, версию антиматерии, и они аннигилируют, а иногда другие частицы сталкиваются с достаточной энергией, чтобы создать пару Q+/Q-.

Это продолжается какое-то время в ранней Вселенной (какие-то крошечные доли секунды), а затем Вселенная остывает. Внезапно вы больше не сможете производить новые пары Q+/Q-, и пока некоторые из существующих пар Q+/Q- аннигилируют и снова станут излучением, остальные из них - будучи нестабильными, короткоживущими частицами - распадутся.

Из-за законов физики элементарных частиц (даже если мы допускаем расширения Стандартной модели) все еще должны сохраняться некоторые симметрии. Частицы Q+ и Q- должны иметь одинаковые:

  • общее среднее время жизни,
  • пути распада и
  • с сохранением заряда, массы и числа «барион минус лептон».

Итак, в этом примере Q+ и Q- имеют одинаковое среднее время жизни, число «барион минус лептон», равное нулю, и в то время как Q+ может распадаться на пару протона и нейтрино или анти -пару нейтронов и антиэлектронов, Q- может распасться на пару антипротонов и антинейтрино или пару нейтронов и электронов. Они нарушают как барионное число, так и лептонное число, но не комбинацию «барион минус лептон». Этот сценарий и возможен, и разумен, но он не создал бы врожденной барионной асимметрии, если бы мы не ввели CP -нарушение.

Без CP-нарушения то, что мы называем коэффициентами ветвления - или доли Q+ частиц и Q-частиц, которые распадаются через каждый канал - , были бы одинаковыми. Если бы 60% частиц Q+ распались на протоны и нейтрино, то 60% частиц Q- распались бы на антипротоны и антинейтрино. Другой канал распада может составлять 40% как для Q+, так и для Q-, снова сохраняя CP-симметрию.

Но если мы допускаем CP-нарушение, то коэффициенты ветвления между частицами и античастицами могут быть разными! Пока общая скорость распада частиц Q+ и Q- остается одинаковой, законы физики по-прежнему соблюдают такое поведение. Теперь давайте введем некоторые CP -нарушения.

Обратите внимание на очень тонкую разницу: Q+ по-прежнему распадается точно так же, как и раньше, но теперь у Q- больше распадов на нейтроны и электроны, но меньше на антипротоны и антинейтрино!

Когда все Q+ и Q- частицы распались - без учета лептонов (для ясности) - что у нас осталось?

В результате этих распадов возникает множество протонов, нейтронов, антипротонов и антинейтронов. Со временем антипротоны и протоны найдут друг друга и аннигилируют, а также нейтроны и антинейтроны. Но из-за асимметрии распада между частицами Q+ и Q- было создано больше протонов, чем антипротонов, и большенейтронов, чем антинейтронов.

После того, как все пары частица-античастица аннигилировали, осталась барионная асимметрия. Если мы проследим за лептонной асимметрией, то обнаружим, что число электронов точно равно числу протонов, а нейтрино больше, чем антинейтрино, ровно на число нейтронов.

И хотя, вероятно, это не точный механизм, с помощью которого произошел бариогенез, что-то похожее на него, весьма вероятно, произошло и породило Вселенную, которую мы видим сегодня!

Три условия Сахарова,

  1. Вселенная вышла из равновесия,
  2. Наличие C- и CP-нарушения и
  3. Нарушение сохранения барионного числа,

безусловно, существуют в нашей Вселенной, и единственный вопрос, на который нам осталось ответить, заключается в том, «как мы получили ту степень асимметрии материи и антиматерии, которая у нас есть сегодня?» Это ответ, насколько нам известно сегодня, и я не стыжусь сказать, что он неполный. Но из всех великих загадок, связанных с тем, «откуда все это взялось», я готов поспорить на то, что мы сможем успешно ответить на них при жизни.

Спасибо за отличный вопрос, Джастин, и я надеюсь, вам понравился выпуск «Спросите Итана» на этой неделе. Если у вас есть вопрос или предложение, которое вы хотели бы рассмотреть, задайте его здесь, и в следующей колонке вы сможете увидеть вас!

Есть комментарий? Взвесьтесь на форуме Starts With A Bang в Scienceblogs!